Return

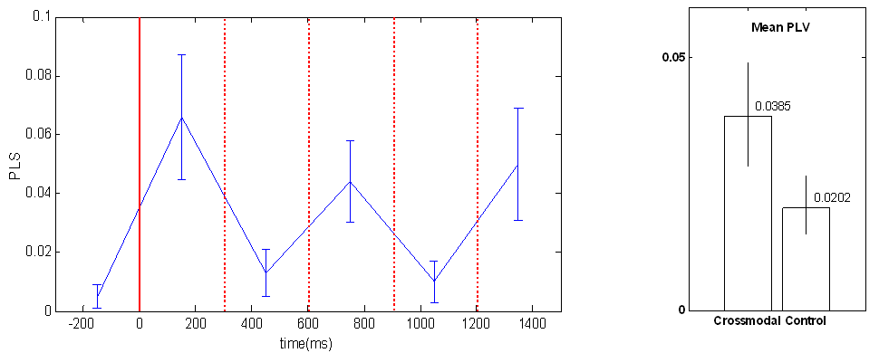
Figure 5. (a) Dynamic phase synchrony between FPC and PPC components. Three-peak pattern of phase synchrony in the cross-modal task. (b) Mean PLV level (0-1500ms) of crossmodal task and of unimodal task.