Return

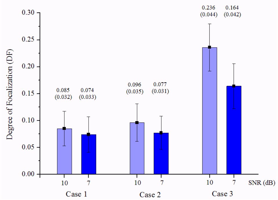
Figure 7. Comparison of DF values averaged for 50 cortical patch simulations. Values in parentheses are standard deviations.